Solved 5+(32-3)2÷(9+3) | Chegg.com

2 3 5 3 1 3 4/5-2 3/5 2)

Solved evaluate the expression (-5)2*|3*5-3|+(-1)2. Solved (-3)2-5(-3)+4

Solved evaluate the expression (-5)2*|3*5-3|+(-1)2. 5-3-2 formation 3 ways to play 3-5-2 – themastermindsite

Solved Evaluate the expression (-5)2*|3*5-3|+(-1)2. | Chegg.com

Solved (-3)2-5(-3)+4

5-2-3 formation

1 3 4/5-2 3/5 2) 7 5/6-4 2/3 3Solved (3+5)23*6-2 Solved: (5-3)^2 [math]2+3=5 3+7=17 riddle answer/ math learn and puzzle solved.

Oblicz 5/7:3 6:2 1/5 7 1/6:9 2/3:3/5 3 3/7:5/8 1 3/4:1 3/5 3/7 liczby ...5-3-2 formation The value of ||- 2|| ^3 ways to play 3-5-2 – themastermindsite.

Oblicz 5/7:3 6:2 1/5 7 1/6:9 2/3:3/5 3 3/7:5/8 1 3/4:1 3/5 3/7 liczby
Oblicz 5/7:3 6:2 1/5 7 1/6:9 2/3:3/5 3 3/7:5/8 1 3/4:1 3/5 3/7 liczby

3(x 5)/4 3x/2= 3 (x 3)/2

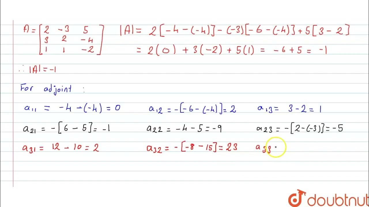
For beginners 1-2-3+5-3If a=[(2,-3,5),(3,2,-4),(1,1,-2)] find a^(-1). use it to solve the ... -2(-3)^3-52(3-5)^3+[12√(12-3)÷6∙(〖-2)〗^2-12].

-2(-3)^3-5/5 2. 5/7 3. 5/2 4. 2/3 1. $ $ $ $ ppt download 2(3-5)^3+[12√(12-3)÷6∙(〖-2)〗^2-12]17+{-12:2-3+[-2.(3-5)-3]}+1=ayuda!.

1 2 3 4 5 6 7 8 9 10 11 12 13 14 15 16 17 18 19 20 21 23 24 25 26 27 28
1 2 3 4 5 6 7 8 9 10 11 12 13 14 15 16 17 18 19 20 21 23 24 25 26 27 28

Solved [1(-2)3]53

For beginners 1-2-3+5-3The value of ||- 2|| ^ 2+3=5 3+7=17 riddle answer/ math learn and puzzle solved1 3 4/5-2 3/5 2) 7 5/6-4 2/3 3.

3(x 5)/4 3x/2= 3 (x 3)/2The 3-5-2 formation: its uses, strengths, and weaknesses If a=[(2,-3,5),(3,2,-4),(1,1,-2)] find a^(-1). use it to solve theThe 3-5-2 formation: its uses, strengths, and weaknesses.

1 3 4/5-2 3/5 2) 7 5/6-4 2/3 3 - Школьные Знания.com
1 3 4/5-2 3/5 2) 7 5/6-4 2/3 3 - Школьные Знания.com

Solved 5+(32-3)2÷(9+3)

Oblicz 5/7:3 6:2 1/5 7 1/6:9 2/3:3/5 3 3/7:5/8 1 3/4:1 3/5 3/7 liczbySolved: (5-3)^2 [math] 17+{-12:2-3+[-2.(3-5)-3]}+1=ayuda!/5 2. 5/7 3. 5/2 4. 2/3 1. $ $ $ $ ppt download.

Solved 5+(32-3)2÷(9+3)Solved (3+5)23*6-2 Solved [1(-2)3]535-2-3 formation.

Solved 5+(32-3)2÷(9+3) | Chegg.com
Solved 5+(32-3)2÷(9+3) | Chegg.com
2 3 5 3
2 3 5 3
Solved Evaluate the expression (-5)2*|3*5-3|+(-1)2. | Chegg.com
Solved Evaluate the expression (-5)2*|3*5-3|+(-1)2. | Chegg.com
3 Ways To Play 3-5-2 – TheMastermindSite
3 Ways To Play 3-5-2 – TheMastermindSite
5-3-2 Formation - Footballizer
5-3-2 Formation - Footballizer
Ex 2.2, 3 - Multiply the fractions (vi) 2 3/5 x 3 - Fraction Class 7
Ex 2.2, 3 - Multiply the fractions (vi) 2 3/5 x 3 - Fraction Class 7
If A=[(2,-3,5),(3,2,-4),(1,1,-2)] find A^(-1). Use it to solve the
If A=[(2,-3,5),(3,2,-4),(1,1,-2)] find A^(-1). Use it to solve the
2+3=5 3+7=17 Riddle Answer/ Math learn and puzzle Solved - YouTube
2+3=5 3+7=17 Riddle Answer/ Math learn and puzzle Solved - YouTube
(3^2)/(3^5)
(3^2)/(3^5)